Sex, politics and religion are the three taboo topics in any office and often, social gatherings. You have your differing views and beliefs, and when you get a passionate person onto the topic, it’s like you wish a black hole would open up and swallow you whole. That’s right, you, not them, as inevitably, their rants (let’s call a spade a spade) will bring forth another’s rant. It’s like a never ending cycle. It’s just easier to remove yourself than them really.
So, when politics pops up in conversation, I am one to quietly shy from expressing any true opinion. I really don’t have one as I’m a lazy swing voter. But occasionally, politics pops up and I can’t escape it, being the only other person in the conversation. It is moments like these that I would wish I had just stayed home and napped rather than being sucked in and having to take a stand. You know, sometimes you argue for the sake of arguing.
My friend, let’s call him Ben (I’ve always wanted to use that phrase), had started ranting on one of his most passionate topics after we had watched Q&A. “I am sick of politicians not being held accountable for their actions and election promises. If only there was a way to make them accountable through the election process.” And, it is with this tirade that he and I start discussing this notion.
So, let’s imagine it. A political system whereby politicians and parties are held accountable for their election promises and performance. The means to which they achieve it is not in question, it is only the outcome that is scrutinised. Let’s just ignore the potential problems which this could and would result in, and pretend that these people do not do anything that is completely unscrupulous (I hear you snickering at my ignorance). In short, politicians will have Key Performance Indicators (KPIs) by which they will be assessed on. There will be KPIs for the Party as well as for the individual.
There will be mitigating circumstances by which election promises will not be able to be met, and during these times, their KPIs will change accordingly. Each Party and Ministers will be able to have their KPIs assessed and changed twice within a term, but only due to mitigating circumstances. You’re wondering what the mitigating circumstances are? Let’s go with Acts of God as listed under an insurance policy and other events by which the insurance company will not pay out under a normal cover.
And what happens with the KPI you are wondering? At election time, the KPI of both the Party and the individual are assessed for those in parliament. The standard to which the KPI has been met will be given a percentage based on satisfaction or level of satisfaction to which the task has been achieved. Prominent, unbiased, industry and social group members will be the ones to assess the KPIs. For example, if one of the Party’s KPIs was to bring the budget back into surplus and reduce Government debt by 10% by the end of term, the Treasurer and this KPI will be assessed by a three member board consisting of at least one Chief Financial Officer of a corporation (perhaps drawn out of a hat, to be fair) and one layman.
The same three assessors will also assess the performance of the opposition minister. They will be marked on not only their constant negative stance on anything and everything the incumbent puts forth, but also, why. If they are opposing a specific policy, they will also need to propose an alternate policy which they could put into place and believe to be better. Just being negative and opposing for the sake of opposing will no longer be enough. It has become apparent that a large portion of our politicians use this as a tactic to step into the public arena and make a name for themselves. What we truly require are people with vision, a can do attitude and an obvious ability to perform at their job, not because they’re good friends with the party leader or great at sucking up.
In layman’s terms, let’s make it less about “I have a better policy, but you chose to use yours which is stupid. And because you’re in power, I don’t have to really share mine with you, I just have to say that yours sucks. So there!” and more about being productive. Just saying something is stupid and won’t work is no longer an option. If you don’t like what’s on the table, give an alternative and let the best option go forth. Politicians will be required to put up or shut up. Let us follow the great mantra of Lead, Follow, or Step Aside.
As a child’s performance at school can be measured and a mark out of 100 is given, so too can a politician’s performance. We will make the individual’s score be denoted by x, for the mathematically incline of you.
The party will be assessed as a whole. With their KPIs established at election time, promises that were made are no longer lip service, they are accountable for what they have said. A list of party mitigating circumstances will come into play, for example, war, famine, draught, other acts of god and terrorists.
Towards election time, the leaders of each party will be forced to complete their performance review, again, with a panel of assessors. These will be comprised of five assessors, an assessor from each of the following portfolios to be selected at random:
- Leader of the party;
- Treasurer;
- Foreign Minister;
- Environment/Energy;
- Education/Infrastructure/Healthcare.
Each party will have a score out of 100 based on their performance. This said, it will be harder for the incumbent to achieve a high score, as their election promises are the ones which they will be assessed. The opposition will be assessed on their performance as an opposition and their alternate policy proposals, this will no doubt be a harder form of assessment, as none of their suggestions will eventuate in any actual changes. This won’t work, I know what you’re thinking, but bear with me a little further.
It is with the intention that both parties (assuming we continue to have the bipartisan parliament) are held accountable for their policies to see to a better future for the country. As both parties are now held accountable for their policy proposals, both parties are now also responsible for selecting the right policy to move forward with. If the incumbent have a policy for asylum seekers, and the opposition offer a counter proposal to which they think is better, the incumbent can choose to use the one proposed by the opposition. This decision will then make both parties accountable for the success of the scheme. With the success or failure of the scheme going towards both party’s KPI. The party’s KPI will be denoted by y.
I would like to now introduce another factor into the mix, the Ministry level factor (z). The finance minister will have more power and pull over the party’s KPI than a backbencher. Is it fair for a backbencher to be penalised or rewarded the same as the leader of the party? The answer is no, yes, they may have the same number of votes in parliament, but the amount of power they each wield is different and their ability to influence the direction to which the party is to go also varies significantly. The party will be divided into 4 groups, with the ministers with the most prominent and important portfolios in the first category (z=4) and the back benchers in the last (z=1).
Now that we x, y and z for each elected member (EM), it is time to determine the vote multiplier for the election:
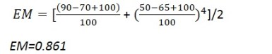
Where is the average KPI for all ministers, and is the average KPI for the parties. For example, let’s say that the President or Prime Minister’s performed well given the cards that had been dealt. The KPI scored individually was 90, the average Minister KPI was 70. The Party’s KPI is 50 and the average party KPI is 65. The President’s or Prime Minister’s multiplier will be:
Every vote the PM receives at the election will only be worth 0.861 vote equivalent. In this example, the PM has performed well as an individual minister, but the party has performed incredibly badly. As the leader of the party, the PM has been punished accordingly, and will require more votes to make up for the underperformance. It’s a lesson in not promising the moon when you have absolutely no intention of delivering. Promise what you can give, a lesson in honestly and modesty.
For new candidates, their vote multiplier (NM) will be determined by:
Following from this example, Party B’s KPI is 65, Party C is 80 and Party D is 65. The corresponding NM for the candidates running against the President or Prime Minister will be 1, 1.15 and 1 respectively. All new parties who have no existing ministers will be given a NM of 1.
And it is with the vote multiplier to which all the votes for each candidate will be applied, and this will determine who has the majority. All votes will need to be counted and tallied before a majority can be determined because of the multiplier. Your vote will no longer equate to just one vote. There will a great deviation depending on the previous performance of the candidate and party you are voting for.
The intention is for the multiplier to reward and punish good politicians and parties as well as their policies and performance. Running a nation is the same as running a large corporation, why are they the only ones who are not reviewed for their performance? Many of you will argue that they are reviewed, it is the election, but for the most of us, we are voting for the lesser of two evils, why are we not voting for the candidate who did the best job and who deserves it? A minister who has no knowledge or understanding of their portfolio/industry should not be put in charge of it. By making them accountable for their portfolio’s performance, we are ensuring that perhaps the best person for the job may actually get it, rather than the person who is chummiest with the party’s power brokers.
This is the fanciful outcome of a night’s heated debate. I may need new friends who are less nerdy. Comic-Con anyone? I’ve always wanted to be Lady Deathstrike.


